Способ получения противомикробной фармацевтической субстанции растительного происхождения из листьев эвкалипта прутовидного
Способ получения противомикробной фармацевтической субстанции растительного происхождения из листьев эвкалипта прутовидного
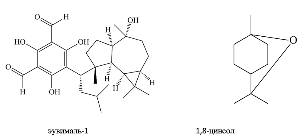
Предложенный способ получения активной фармацевтической субстанции растительного происхождения направлен на «целевое» извлечение биологически активных веществ, ответственных за противомикробный и противоспалительный эффект (моно- и сесквитерпеноиды, формилированные производные флороглюцина) (Рис. 1). Технологический выход субстанции, полученный заявленным способом, составляет 10.2% от массы сухого растительного сырья, а количественное содержание фенолальдегидов ˗ не менее 45% (Рис. 2).
Микробиологические испытания фитосубстанции из листьев эвкалипта прутовидного продемонстрировали высокий уровень антимикробной активности в отношении Staphylococcus aureus и бактерий рода Streptococcus spp. Минимальная подавляющая концентрация (МПК), мг/мл колеблется в пределах от 7.97 до 15.94 мкг/мл для клинических изолятов S.aureus. При этом 64% исследуемых клинических изолятов относились к MRSA (methicillin-resistant S. aureus) ˗ метициллинустойчивым штаммам золотистого стафилококка. Антимикробная активность субстанции в отношении клинических изолятов Streptococcus spp. составила от 0.13 до 0.51 мг/мл.
Таким образом, данный способ позволяет получить стабильную фармацевтическую субстанцию растительного происхождения из листьев эвкалипта прутовидного с высокими выходом флороглюциновых производных и уровнем антибактериальной активности, не требует специализированного дорогостоящего оборудования, исключает стадии длительной многостадийной очистки, что позволяет сократить время производственного цикла до 3 часов обработки растительного сырья органическим растворителем. За счет исключения многостадийности производства сокращаются и эксплуатационные расходы по сравнению с описанными традиционными решениями получения фармацевтических субстанций из листьев эвкалипта прутовидного. Значимым прикладным результатом для экономики и социальной сферы в условиях импортозамещения является разработанный лабораторный регламент получения противомикробной активной фармацевтической субстанции, описывающий полный цикл производства и контроля качества фитосубстанции. Разработанный способ получения противомикробной активной фармацевтической субстанции подлежит масштабированию на опытных химико-фармацевтических производственных площадках с использованием описанных ресурсов и оборудования. Возможным интересантом реализуемого проекта является фармацевтическое предприятие РТ – АО «Татхимфармпрепараты».
Разработанная активная фармацевтическая субстанция природного происхождения обладает антибактериальной активностью в отношении S. aureus (в том числе MRSA), S. oralis, S. sangvinis, S. sobrinus, S. parasangvinus, S. gordonii, S. mutans, S. salivarius, S. anginosus. Субстанция будет использоваться для создания лекарственных препаратов с противомикробным и противоспалительным эффектами, применяемых в таких областях как:
- стоматология (для лечения стоматитов, заболеваний пародонта, кариеса)
- оториноларингология (для лечения фарингитов, тонзиллитов, ассоциированных тест-микроорганизмами)
- хирургия (для обработки ожогов, ран, трофических язв)
Конкурентные преимущества перед аналогами
Основным аналогом предлагаемой фармацевтической субстанции является субстанция «Хлорофиллипт».
Конкурентными преимуществами заявленного технологического решения являются:
- сокращение длительности производственного цикла (с не менее 36 ч до ~ 3 часов на весь цикл производства)
- сокращение стадий технологического процесса (исключение многократного экстрагирования методом мацерации; операций, связанных с обработкой раствором сульфата меди (II); извлечения медных комплексов соединений эвкалипта хлороформом)
- повышение экологичности производственного процесса (предельная допустимая концентрация в воздухе рабочей зоны составляет 10 мг/м3и 900 мг/м3 для хлороформа и гексана соответственно; по классу опасности хлороформ относится к 2 классу; гексан ˗ к 4)
- повышение уровня антибактериальной активности в отношении S. aureus (в том числе метициллинрезистентных штаммов), S. oralis, S. sangvinis, S. sobrinus S. parasangvinus, S. gordonii, S. mutans, S. salivarius, S. anginosus.
- повышение уровня нормируемого показателя качества субстанции «количественное определение суммы фенолальдегидов в пересчёте на эвкалимин,%» на ~ 30% ( с «не менее 35%» до «не менее 45%»)